Meeting Document

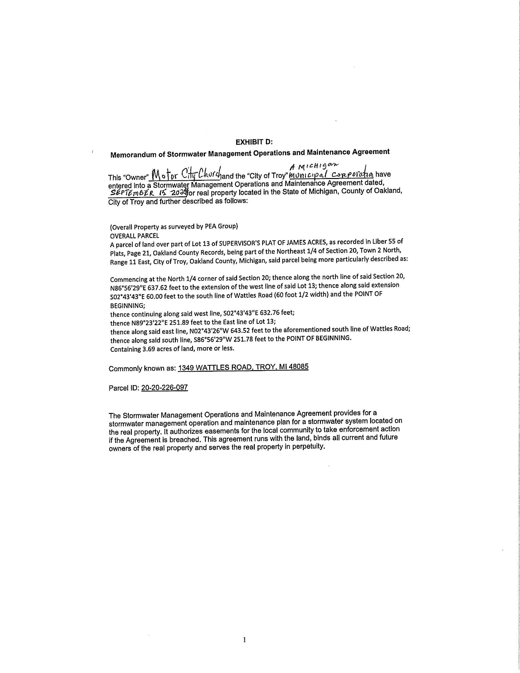
2025-10-20 City Council Regular Agenda Item J-09 Stormwater Management Operations And Maintenance Agreement, Motor City Church International, Sidwell #88-20-20-226-097

Download PDF

« of 21 »

« of 21 »

CITY UPDATES
Sign Up